AZTest.org
Share
Tweet
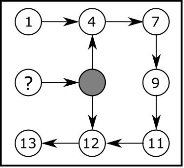
A)
B)
C)
D)
E)
F)
G)
H)
Check your answer!
Previous question
Next question
Easier
Harder